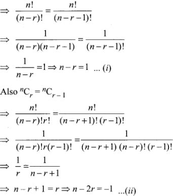
NPR = 1 & NCR = 1: Find R

A.Myexpertmidwife 22 views
NPR = 1 & NCR = 1: Find R

NPR = 1 & NCR = 1: Find r

What’s up, math whizzes! Today, we’re diving deep into a super cool combinatorics problem that’s going to tickle your brain cells. We’re talking about permutations and combinations, specifically when the number of permutations and combinations equals one. Our mission, should we choose to accept it, is to figure out the value of ‘r’ given that NPR = 1 and NCR = 1 . Sounds simple, right? Well, stick around, because sometimes the simplest-looking problems hide the most elegant solutions. We’ll break down the formulas, explore the properties of these mathematical concepts, and arrive at the answer step-by-step. Get ready to flex those problem-solving muscles, guys!

Understanding Permutations (NPR)

Alright, let’s kick things off by getting a solid grip on what NPR actually means. In the world of combinatorics, NPR, or ‘n permute r’, is all about arrangements. It tells us the number of ways we can choose ‘r’ items from a set of ‘n’ distinct items, where the order matters . Think of it like arranging books on a shelf or assigning roles in a play. The sequence in which you pick them or assign them makes a difference. The formula for NPR is pretty standard: NPR = n! / (n-r)! . Here, ‘n!’ (n factorial) means n * (n-1) * (n-2) * … * 2 * 1. It’s a way to count all possible ordered arrangements. So, if you have 5 different toppings for a pizza and you want to arrange 3 of them on top, you’d use permutations. The key takeaway here is that order is king in permutations. If we’re given that NPR = 1 , this immediately tells us something significant about the relationship between ‘n’ and ‘r’. For the number of permutations to be just 1, it implies that there’s only one way to arrange the chosen items. This usually happens in very specific scenarios. We’ll explore these scenarios as we go along, but keep this formula and the concept of ordered arrangements firmly in your mind.

Understanding Combinations (NCR)

Now, let’s switch gears and talk about NCR , or ‘n choose r’. Unlike permutations, combinations are all about selection, not arrangement. Here, the order does not matter . If you’re picking a committee of 3 people from a group of 10, it doesn’t matter if you pick Alice then Bob then Charlie, or Charlie then Alice then Bob – the committee is the same. The formula for NCR is NCR = n! / (r! * (n-r)!) . Notice the extra ‘r!’ in the denominator compared to the permutation formula. This division accounts for the fact that different orderings of the same selected items are considered the same combination. So, while NPR counts every single distinct arrangement, NCR counts only the unique sets of items. When we’re told that NCR = 1 , it signifies that there’s only one way to select ‘r’ items from a set of ‘n’ items, irrespective of their order. This condition also points to specific constraints on ‘n’ and ‘r’. Understanding the difference between permutations and combinations – ordered arrangements versus unordered selections – is crucial for solving our problem. Both formulas are built upon factorials, which represent the total number of ways to arrange a set of items. The constraints given, NPR = 1 and NCR = 1 , will help us narrow down the possibilities for ‘r’.

The Case When NPR = 1

Let’s focus on the first condition: NPR = 1 . We know the formula is NPR = n! / (n-r)! . For this equation to equal 1, the numerator must be equal to the denominator. So, we have n! = (n-r)! . Now, think about factorials. When are two factorials equal? Factorials grow very rapidly. For instance, 5! = 120, and 6! = 720. The only way for n! to equal (n-r)! is if the terms being factorialized are the same, or if one of them is 0! (which equals 1). Let’s consider the possibilities:

  • Possibility 1: n = n-r . If this is the case, then by simple algebra, r = 0 . If r = 0, then NPR becomes nP0. Using the formula, nP0 = n! / (n-0)! = n! / n! = 1. This holds true! So, r = 0 is a strong candidate.
  • Possibility 2: (n-r)! = 1 and n! = 1 . The factorial of 0 is 1 (0! = 1), and the factorial of 1 is also 1 (1! = 1).
    • If n-r = 0 , then n = r . In this case, NPR becomes nPn = n! / (n-n)! = n! / 0! = n! / 1 = n!. For nPn to be 1, we need n! = 1. This happens when n = 0 or n = 1.
      • If n = 0, then r = 0. This is the same as Possibility 1.
      • If n = 1, then r = 1. Let’s check: 1P1 = 1! / (1-1)! = 1! / 0! = 1 / 1 = 1. This also works!
    • If n-r = 1 , then n = r + 1 . We also need n! = 1. As we saw, this means n = 0 or n = 1. If n = 0, then 0 = r + 1, which means r = -1. This is not possible as ‘r’ must be a non-negative integer. If n = 1, then 1 = r + 1, which means r = 0. We’ve already covered this case.

So, from NPR = 1 , we’ve identified two potential scenarios: r = 0 (which works for any valid n >= 0) or n = 1 and r = 1 .

The Case When NCR = 1

Now, let’s look at the second condition: NCR = 1 . The formula is NCR = n! / (r! * (n-r)!) . For this to equal 1, we need n! = r! * (n-r)! . Let’s analyze this:

  • Scenario 1: r = 0 . If r = 0, then NCR becomes nC0 = n! / (0! * (n-0)!) = n! / (1 * n!) = 1. This works for any valid n >= 0. So, r = 0 is a valid solution based on this condition too.
  • Scenario 2: r = n . If r = n, then NCR becomes nCn = n! / (n! * (n-n)!) = n! / (n! * 0!) = n! / (n! * 1) = 1. This also works for any valid n >= 0. So, r = n is another possibility.
  • Scenario 3: n = 1 and r = 1 . Let’s test this. 1C1 = 1! / (1! * (1-1)!) = 1! / (1! * 0!) = 1 / (1 * 1) = 1. This works.
  • Scenario 4: n = r = 0 . 0C0 = 0! / (0! * (0-0)!) = 0! / (0! * 0!) = 1 / (1 * 1) = 1. This also works.

From NCR = 1 , we’ve found that r = 0 or r = n . This means either we choose zero items (which is always one way - choosing nothing), or we choose all the items (which is also always one way - choosing everything).

Bringing It All Together: The Value of r

We’ve analyzed both conditions separately. Now, we need to find the value of ‘r’ that satisfies both NPR = 1 and NCR = 1 . Let’s recall our findings:

From NPR = 1 , we concluded that either r = 0 or ( n = 1 and r = 1 ).

From NCR = 1 , we concluded that either r = 0 or r = n .

We are looking for a value of ‘r’ that is common to both sets of solutions. Let’s examine the possibilities:

  1. Consider the case where r = 0.

    • Does r = 0 satisfy NPR = 1? Yes, nP0 = 1 for any n >= 0.
    • Does r = 0 satisfy NCR = 1? Yes, nC0 = 1 for any n >= 0. So, r = 0 is a value that satisfies both conditions.
  2. Consider the case where (n = 1 and r = 1) from NPR = 1.

    • Does this satisfy NCR = 1? If n = 1 and r = 1, then NCR becomes 1C1, which we found to be 1. Yes, it does. So, r = 1 (when n = 1) is another possibility.

Now, let’s look closely at the condition r = n from NCR = 1 and see if it helps. If r = n, then NPR becomes nPn = n! / (n-n)! = n! / 0! = n!. For NPR to be 1, we need n! = 1. This happens when n = 0 or n = 1.

  • If n = 0, then r = n implies r = 0. This gives us the solution r = 0.
  • If n = 1, then r = n implies r = 1. This gives us the solution r = 1 (when n = 1).

So, we have two potential values for ‘r’: 0 and 1.

However, the question asks for the value of r. Let’s re-examine the conditions and implications. If NPR = 1 , we established that r must be 0 OR n=1 and r=1 . If NCR = 1 , we established that r must be 0 OR r=n .

For both to be true:

  • If r = 0 : This satisfies both NPR=1 (nP0=1) and NCR=1 (nC0=1) for any valid n (n>=0).
  • If r = 1 : This requires n=1 from the NPR condition (1P1=1). If n=1 and r=1, then NCR becomes 1C1 which is 1. So, r=1 is valid only when n=1 .

The question implies a single, definitive value for ‘r’ that holds true generally, not contingent on a specific ‘n’ unless implied. The most universal solution that satisfies both NPR = 1 and NCR = 1 across all valid ‘n’ is r = 0 . If the problem intended the specific case of n=1, it would likely have stated it. Typically, when such problems are posed without a specific ‘n’, the solution derived should hold for any valid ‘n’.

Therefore, the most robust answer is r = 0 . This covers the scenarios where you select zero items, which is always one way to do it, whether order matters (nP0=1) or not (nC0=1).

Let’s just double check if there’s any edge case missed. The definitions of n and r in permutations and combinations require n >= r and both n and r to be non-negative integers.

If r=0, then n>=0, which is valid. nP0 = 1 and nC0 = 1.

If r=1, then we need n>=1. If n=1, then 1P1=1 and 1C1=1. So r=1 is possible, but only when n=1.

Since the question asks